Эколого-экономические аспекты утилизации отходов производства ПАН- и углеродных волокон на примере ООО «Алабуга-Волокно»
рубрика: материалы
Создание новых крупнотоннажных производств [1] и вовлечение в среду обитания человека новых синтетических материалов, приводит к резкому росту количества отходов.
В работе были использованы отходы полиакрилонитрильного (ПАН) волокна — путаный сухой полиакрилонитрильный прекурсор и отходы углеродного (УВ) волокна. Путаный ПАН-прекурсор образуется в процессе заправки линий формования; при отработке технологических режимов на линиях формования; при заправке намоточных машин, а также при съеме остатков волокна со шпуль при завершении наработки партии. Отходы УВ волокна образуются при отработке технологических режимов на линии; при заправке намоточных машин, а также при съеме остатков волокна со шпуль при завершении наработки партии. И в обоих случаях при забраковке партий отделом технического контроля предприятия-изготовителя.
Преимущества инновационного решения:
- Снижение себестоимости резиновой смеси;
- Минимальные расходы для закупки дополнительного оборудования для получения рубленой нити;
- Снижение экологической нагрузки, материальных затрат на организацию площадей для хранения отходов, утилизацию отходов;
- Получение полимерных композитов с улучшенными характеристиками;
- Отсутствие дополнительных операций при ведении технологического процесса, стандартная действующая технологическая схема.
Заявляемый продукт/технология может быть рекомендован/а для изготовления резинотехнических изделий с улучшенными характеристиками. В частности, расширение ассортимента для комбинации каучуков общего назначения — втулки, амортизаторы, декоративные детали, уплотнительные элементы, противоизносные детали, вспомогательные «несиловые» детали, практически не передающие нагрузку; для нитрильных каучуков — технические пластины, манжеты, уплотнительные элементы, патрубки, противоизносные детали.
В работе рассмотрены эластомерные композиционные материалы, содержащие и не содержащие отходы полиакрилонитрильного (ПАН) [2] и углеродного волокон (УВ), на основе комбинации каучуков общего и специального назначения [3, 4].
На рисунке 1 представлены отходы производств ПАН и УВ волокон, на рисунке 2 представлена рубленая нить из отходов ПАН и УВ волокон. Рубка волокна производилась на чоппере, длина рубленой нити 5–8 мм.

Рисунок 1. Отходы: УВ волокна (слева); ПАН волокна (справа)

Рисунок 2. Рубленая нить: отходов УВ волокна (слева); отходов ПАН волокна (справа)
Испытания резиновых смесей и их вулканизатов проводились по следующим характеристикам согласно соответствующим ГОСТ:
- Вулканизационные характеристики резиновой смеси по ГОСТ Р 54547;
- Упруго-прочностные свойства вулканизата по ГОСТ 270.
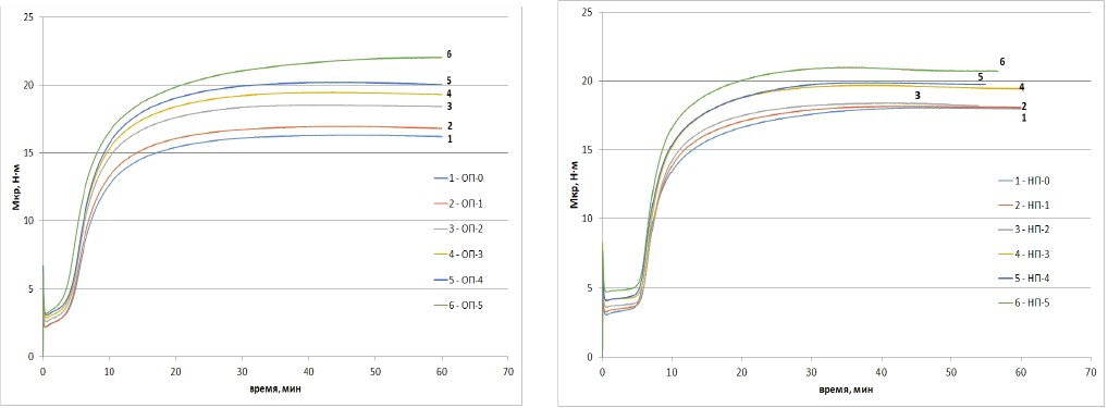
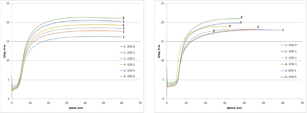
На рисунках 3, 4 представлены вулканизационные кривые, скорость вулканизации увеличивается.

Рисунок 3. Вулканизационные кривые резиновых смесей на основе: каучуков общего назначения (слева), каучуков специального назначения содержащих ПАН волокно (справа), при 143°С (содержание отходов ПАН волокна 0-25 мас.ч., соответвественно ОП-0/ОП-5; НП-0/НП-5)

Рисунок 4. Вулканизационные кривые резиновых смесей на основе: каучуков общего назначения (слева), каучуков специального назначения содержащих ПАН волокно/УВ (справа), при 143 °С (содержание отходов ПАН волокна/УВ (50/50) 0-25 мас.ч., соответвественно ОПУ-0/ОПУ-5; НПУ-0/НПУ-5)
На рисунках 5, 6 представлены графики условной прочности при растяжении, с увеличением введения отходов ПАН волокна и УВ значения условной прочности несколько снижаются при увеличении содержания волокон в смеси.

Рисунок 5. Условная прочность при растяжении вулканизатов на основе: каучуков общего назначения (слева), каучуков специального назначения, содержащих ПАН волокно (справа), содержание отходов ПАН волокна 0-25 мас.ч., соответвественно ОП-0/ОП-5; НП-0/НП-5

Рисунок 6. Условная прочность при растяжении вулканизатов на основе: каучуков общего назначения (слева), каучуков специального назначения, содержащих ПАН-волокно/УВ (справа), содержание отходов ПАН волокна/УВ (50/50) 0-25 мас.ч., соответвественно ОПУ-0/ОПУ-5; НПУ-0/НПУ-5
В целом введение отходов волокон приводит к значительному изменению свойств резиновых смесей и вулканизатов на основе каучуков общего назначения (СКИ+СКД+СКС) и специального назначения (БНКС-18 АН+ БНКС 28-АН).
Снижение себестоимости резиновой смеси вкупе с экологической составляющей позволяет расширить ассортимент стандартных резинотехнических изделий без наполнения отходами ПАН волокна и УВ.
Был произведен расчет себестоимости 1 тн резиновой смеси с отходами ПАН волокна и УВ. На основе каучуков общего назначения снижение себестоимости при дозировке 10 мас.ч. ПАН волокна и комбинации ПАН волокна и УВ составило 8545,48 руб., на основе каучуков специального назначения — 8042,02 руб.
Список литературы
- Нурмухаметова А.Н., Хамидуллин А. Р. Зенитова Л.А. Углеродное волокно. Получение, модификация, свойства, области применения / Бутлеровские сообщения. 2020. т.65, в.2. С.1-45.
- Нурмухаметова А.Н., Зенитова Л.А. Производство полиакрилонитрильного прекурсора. Вестник КНИТУ. 2022. № 9. С. 55-65
- Ю.С. Свистунов, А.Н. Нурмухаметова, Л.А. Зенитова Применение отходов полиакрилонитрильного волокна // Композитный Мир. 2022. № 2. С. 8-9.
- Ю.С. Свистунов, А.Н. Нурмухаметова, Л.А. Зенитова В.Л. Полимерные композиты, наполненные отходами полиакрилонитрильного волокна // Композитный Мир. 2023. № 1. С. 6-8.